Download - Roadex Transport Services
Below are necessary form and legal documents required for various purpose.
- APPENDIX 18 A ( FORMAT OF BANK CERTIFICATE FOR ISSUE OF IEC )
- Customer Information Sheet
- FORM SDF
- FORM 'A' ( Authorisation to Sign Customs Documents )
- Format for Invoice & Packing List
- Check List IEC
- AD Code Certificate Format
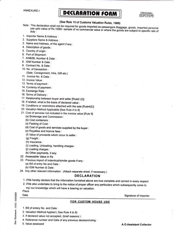
- Declaration Form
- Declaration
- Drawback Declaration
- Drawback
- Export Value Declaration
- APPENDIX 26 A
- ANF 4 G (DEPB application)
- ANF 2A (Application form / Modification in IEC number
- ANF 5B (Statement of Export for Redemption of EPCG/ Annual EPCG Authorization
